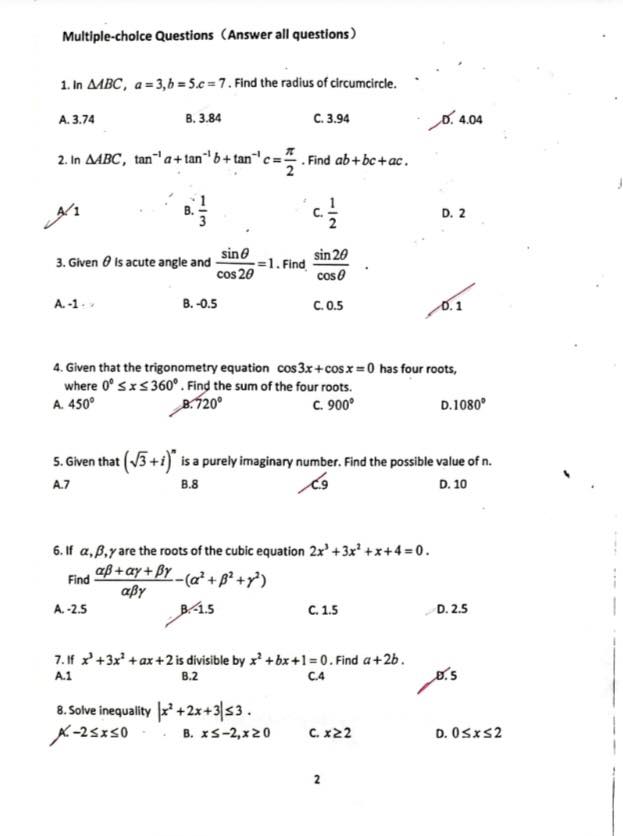
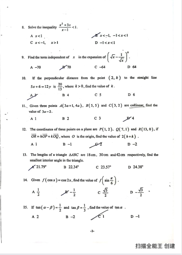
UEC Senior Middle Level Science Class Add Math 1 Trial
Purchase @ https://wa.me/60126360900?text=UECSM3ScienceAddMath1I4May2021

Purchase @ https://wa.me/60126360900?text=UECSM3ScienceAddMath1I5May2021

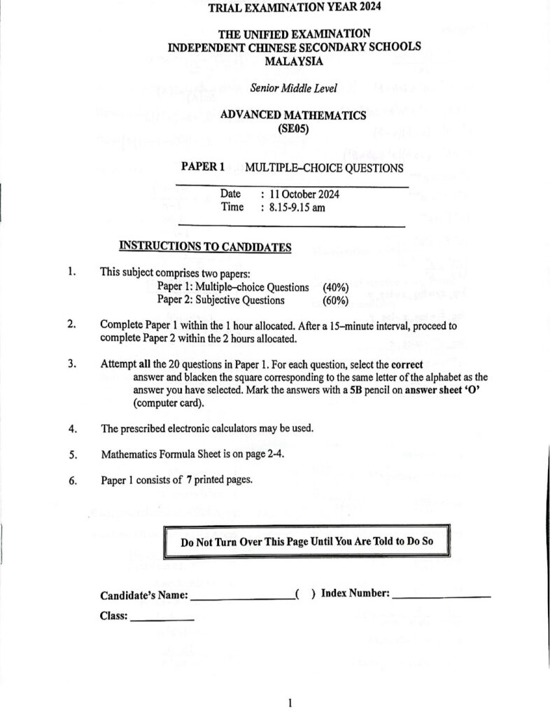
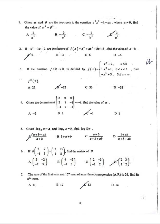
UEC Senior Middle Level Science Class Add Math 2 Trial Paper 2020-2024 (Paper 1,Paper 2 )Q + A
Purchase @ https://wa.me/60126360900?text=SUECADDMATH2T24AUG2025

Purchase@ https://wa.me/60126360900?text=UECSM3ScienceAddMath2I9May2021

Purchase @ https://wa.me/60126360900?text=UECSM3ScienceAddMath221May2021
